With the addition of the 1901 census findmypast.co.uk now has full transcription Scottish censuses from 1841 to 1901.
Original census images are not available due to the General Register Office for Scotland's licensing regulations. They can be viewed through scotlandspeople.gov.uk
Thursday, 12 April 2012
Findmypast.co.uk adds 1901 Scottish census transcriptions
Access to Information Act improvements promised
The Canadian Press reports on a plan to make the Canada government more transparent http://www.winnipegfreepress.com/arts-and-life/life/sci_tech/feds-promise-online-access-requests-virtual-library-in-open-government-plan-147073505.html.
"Critics have complained that Canada's open government initiatives to date have largely been limited to repacking existing information in new formats.
Access laws have also been widely disparaged for being antiquated and too easy for the government to circumvent."
The plan, described as a blueprint, is long on promises and rhetoric, short on specific near term deliverables. It mentions "The multi-year plan also includes efforts to make material held by Library and Archives Canada more accessible by removing restrictions wherever possible."
Based on past experience that's realistic .. a multi-year timeframe and efforts, not deliverables, from LAC.
BIFHSGO April meeting
Wednesday, 11 April 2012
Ancestry adds Dorset Crew Lists
Now on Ancestry, Dorset, England, Crew Lists, 1863-1914. This database, with 58,368 indexed records and original images, is based on those found at the Dorset History Centre.
"This database contains three record types—lists, agreements, and log books—each of which lists details about crew members and their service onboard. Port information can be searched through the Lived In field. Typically, the records will include the following information:
nameThe Dorset ports included are Bridport, Lyme, Poole and Weymouth.
age
birthplace
birth year
nationality
date signed on and off the ship
ship name, port, registry date, master’s name"
If you find yourself puzzled by the seemingly random dispersal of crew lists there's an explanation at the site for the Crew List Indexing Project which may help you locate the ones you seek.
Note that the Dorset History Centre will be closed for 3 weeks later on in 2012. Check the website at http://www.dorsetforyou.com/dorsethistorycentre before setting the dates for a visit.
Rethinking the Stewardship of Newspapers in the Digital Age - 1
The package I recently received as a result of my ATIP request to Library and Archives Canada included a draft discussion paper, one of LAC's pathfinder projects, by the above title which is worth a look. Draft 1.0, dated November 20, 2009, was in five sections. Here's the subsection from section 3 on the current state of newspaper stewardship.
3.3. Digitized newspapers
In Canada, projects to digitized historical newspapers began to emerge as memory institutions and some private companies recognized the access opportunities of the web. Since the late 1990s, there have been numerous retrospective newspaper digitization projects in Canada, of which some major ones include: Paper of Record, Pages of the Past, the Alberta Heritage Digitization Project, multicultural Canada and the digitization work of Bibliotheque et Archives nationales du Québec (BAnQ).
The following is a summary of observations of the state of Canadian newspaper digitization based on LAC's own newspaper digitization experience as well as an examination of select major initiatives in Canada.
- while LAC has digitized some special editions of aboriginal and French language newspapers, as well as Canada's first newspaper, the Halifax Gazette and the Canadian Illustrated News, LAC has not pursued a program of mass digitization of newspapers to date. Available funding levels have supported only exhibition scale digitization, not the digitization of full back runs of numerous titles.
- among Canadian projects geographic coverage is uneven with the most digitization taking place in Alberta and Québec.
- access models vary based on copyright and business models. Most copyright cleared historical content that has been digitized is freely available, but there are a few business models like the Toronto Star and the Winnipeg Free Press that charge for access to archived content.
- LAC has not attempted to acquire on legal deposit Canadian newspapers that have been digitized by other organizations. Depending on the digital capacity of the host institution, long-term access to some of this content could be at risk.
- When the Cold North wind corporation's extensive collection of digitized newspapers was made available for sale the new legal deposit regulations were not in place and LAC was not able to afford its purchase price. It subsequently sold to Google. As of June 2009, it is reported that Google has made 522 titles (4.9 million articles) freely available.
- There is a clear shift from boutique to large-scale digitization.
- Funding comes mainly from governments and grant programs.
- Most organizations are digitizing out of copyright, historical newspapers.
- Most organizations are outsourcing newspaper digitization, and are digitizing from microfilm where possible.
- The scaling of output ranges significantly, but in each case it is substantial ranging from 1 to 8 million pages.
- There are significant differences in costs depending on the type of post processing undertaken (i.e., whether fulltext search is offered or only browsing access).
- There is a mix of collaboration models including private, government, nonprofit, and university partners.
- seek to increase the body of retrospective Canadian newspapers online through collaborative arrangements
- develop an access strategy for Canadian newspapers subject to legal deposit that is acceptable to user groups and newspaper publishers
- seek ways to increase the visibility of online Canadian newspapers
- the digitization of historic newspaper content
- the need for a registry of all available digital Canadian newspapers
Guild of One-Name Studies conference online
The 2012 Guild Conference and AGM will be streamed online from the evening of Friday, 13 April to Sunday, 15 April. There are some interesting looking presentations. It's a first time ever the Guild is attempting this live, via http://www.livestream.com/onename, so and glitches shouldn't be unexpected.
Find out more at http://www.one-name.org/LivestreamConference2012.html. In planning to tune in don't forget the time zone difference.
Thanks to Mick Southwick for mentioning this on his British & Irish Genealogy blog at http://bi-gen.blogspot.com/
Dead Money
A quick trip to Ireland, frequent flyer miles are stacking up, allowed me to view the Irish television network RTÉ1 show "Dead Money." Legal genealogists Steven and Kit Smyrl trace heirs of those who died intestate.
For those who've seen the similar British series "Heir Hunters" the big contrast is that the Irish investigations seem not be under the time and competitive pressures that exist in England.
The episode on Tuesday had them researching for heirs of a former Scottish entertainer, Anna of the novelty act Fran and Anna Watt.
One of the breakthroughs came when the mother's parents names were found on her death certificate, something I did know before.
It turned out that Anna's mother was born out of wedlock in Ireland at a time and in a community which ostracized both mother and child. It was suggested that this contributed to significant emigration.
The researchers were able to find descendants of Anna's mother's half-sibling, but were then informed that Scottish law on inheritance is different from Irish law in that half-blood relatives are not eligible to inherit.
There were brief scenes filmed inside GRO Ireland which seemed remarkably quiet. I wonder if that's typical?
There's a summary of the other episodes in the series at http://www.rte.ie/tv/programmes/dead_money.html
Tuesday, 10 April 2012
Browsing an Image-Only Collection
From The Ancestry Insider, a nice step by step lesson in browsing digital microfilm of alphabetically ordered records.
http://feedproxy.google.com/~r/AncestryInsider/~3/g3zTKCBNfBA/browsing-image-only-collection.html
US National Archives annual genealogy fair
I notice that not all national archives take genealogists as much for granted as Library and Archives Canada.
http://www.archives.gov/dc-metro/know-your-records/genealogy-fair/
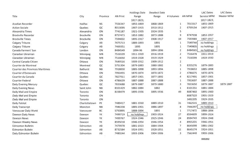
4,223 bound newspaper volumes LAC hopes you won't miss
Earlier this year I made an Access to Information Act request regarding Library and Archives Canada's intentions for its newspaper collection. Newspapers appeared to be neglected with no digitization program comparable to similar institutions internationally. There were rumours of mass deaccessions.
Last Thursday in response I received in the mail a DVD containing images of documents. The files revealed that no newspaper digitization had been done since the French Canadian Newspapers project in 2008-2009 and there are no newspaper digitization projects as of February 2012.
The files also contained a statement that as of early February 2012 there have been no changes to the access individuals have to newspapers held at 395 Wellington resulting from de-selection or any other developments since January 2010.
That's about to change.
Various options on how to proceed were proposed, evaluated and costed.
A communication to Daniel Caron, Librarian and Archivist of Canada, recommended:
"deselection of newspapers based on the condition where the content is available in another format from LAC thus ensuring access to our collection for the benefit of present and future generations, or where the content is available from a source outside LAC and where we can collaborate with others to promote and facilitate access. Retain the 1% of collections that are unavailable in another format or from another source to ensure a fair and equitable access to the content."
The proposal was approved by Daniel Caron on 21 December 2011.
While we should have no objection to deaccession of newspapers where there is excessive duplication, LAC routinely deaccesses over 2,000 paper format newspapers annually, I have the following concerns:
1. There is no evidence that the quality of the existing microfilm which duplicates material to be delisted has been evaluated. Microfilming that occurred decades ago or was made from poorer quality hardcopy may not meet current standards and digitization projects have sometimes had to have recourse to hardcopy to provide a satisfactory source for digitization.
2. Relying on other's holdings of newspapers leaves the national collection vulnerable. Maintaining multiple copies in diverse locations is a common preservation strategy. In some cases the "national" collection could now be dependent on a single copy held elsewhere.
3. In the absence of any digitization initiative researchers will be disadvantaged by not having a single central location to consult a national newspaper collection.
4. Previous experience with 1985 federal-provincial agreements, the Decentralized Program for Canadian Newspapers, was that several provinces failed to live up to their commitment.
5. A communication strategy to inform clients has not been implemented. It appears no comprehensive effort will be made to advertise the availability of the deaccessioned volumes to potential organizations that may be interested in acquiring them, including provincial archives, university and local libraries, local archives and heritage centres, historical and genealogical societies and the like.
The complete list of newspapers to be deselected is here. the first page is below.
I'd especially encourage those working in the library and archival community to examine the list and get in touch with their contact at LAC if they see volumes they would like to acquire for their institution, recognizing that these are volumes judged to be in poor condition.
Finally, the covering letter I received with the DVD stated some material was not supplied; "certain records or portions thereof withheld pursuant to section 21(1)(b)." Under those provisions the head of an organization has discretionary authority; it reads:
21. (1) The head of a government institution may refuse to disclose any record requested under this Act that contains
(b) an account of consultations or deliberations in which directors, officers or employees of a government institution, a minister of the Crown or the staff of a minister participate,I didn't get the whole story. Something is being kept back that is not required by law to be withheld.
Monday, 9 April 2012
OGS conference 2013 call for speakers
A reminder that OGS Conference 2013 will be held in Oshawa on May 31–June 2, 2013 with theme Pulling Up Stakes – Putting Down Roots, covering migration from all over the world to Ontario.
The call for speakers is now available at http://www.ogs.on.ca/seminar/2013-OGS-call-for-speakers.pdf. There's still plenty of time to send in proposals, the deadline is 31 July, 2012, but it's not too soon to start thinking about making a proposal.
Look again LAC
"Family history now figures on the agendas of Government departments in a way that was scarcely imaginable then. All ***** record-holding institutions—local and national archives, libraries and private institutions—have now recognised that genealogists are one of their largest constituencies, and they are providing dedicated research rooms, personalised consultations, expanded finding aids and, above all, digitised records."Nobody would write those words in praise of Library and Archives Canada.
They are written about Ireland, ***** stands for Irish, and "then" refer to twenty years ago and the first edition of John Grenham's book Tracing Your Irish Ancestors, the fourth edition of which has just been published.
Those words are from an item Twenty-year stocktaking on Grenham's blog for the Irish Times. The article ends:
Even in the last four years, profound changes have taken place in the link between Irish research and the internet. Before then, any online transcripts of records were piecemeal and amateur—very welcome, but afterthoughts to the main business of hands-on research in Irish repositories. Now the internet is at the heart of any Irish family history.It's time Library and Archives Canada looked again at it's approach to genealogy and how it serves this largest and important sector of it's clientele.
Sunday, 8 April 2012
Indexed Norfolk records at familysearch.org
Family Search has added to their collection of Norfolk, England, parish records with a start on name indexed records connected to images.
England, Norfolk Parish Registers, 1538-1900 has 188,222 records
For marriages from July 1837 the images are certificates with all the information, including signatures, which would cost about $15 from the GRO.
Don't overlook the other Norfolk unindexed image records at familysearch.org.
England, Norfolk Archdeacon's Transcripts, 1600-1812
England, Norfolk Bishop's Transcripts, 1685-1941
England, Norfolk Marriage Bonds, 1557-1915
England, Norfolk Monumental Inscriptions, 1600-1900's
England, Norfolk Non-conformist Records, 1613-1901
England, Norfolk Poor Law Union Records, 1796-1900
England, Norfolk Register of Electors, 1844-1952
News from QFHS
Gail Dever, webmaster for the Quebec Family History Society, contacted me with some nice comments on the blog and mentioning additional free Titanic resources posted on the QFHS website. See the second and third posts on the QFHS Bulletin Board: http://www.qfhs.ca/cpage.php?pt=53
The QFHS Home page and Bulletin Board are updated almost daily to keep members and visitors aware of what's new on the website, and in the genealogy world. That's likely one reason why the Alexa traffic rank for www.qfhs.ca has now climbed to 1,527,988.
Saturday, 7 April 2012
Daily Telegraph history
One convenient source for developments, and opinion, on British history is The Daily Telegraph online history section at www.telegraph.co.uk/history/
Lost Cousins newsletter
A new issue of the Lost Cousins newsletter arrived on Friday. The newsletter is one I recommend. Read the latest issue, and find out more about Lost Cousins, at http://www.lostcousins.com/
Friday, 6 April 2012
WDYTYA: Edie Falco
Friday's US Who Do You Think You Are? episode at 8pm EDT on NBC and CITY TV features film and stage actress Edie Falco, "known for her roles in Oz as Diane Wittlesey, as Carmela Soprano on the HBO series The Sopranos, and as the titular character on the Showtime series Nurse Jackie."
Google finds 2.09 million hits for the name, less than Blair Underwood who attracted 4.99 million viewers, more than Rita Wilson's 5.08 million.
Findmypast.co.uk adds to maritime collection
The following is a press release from findmypast.co.uk:
· Over a million Maritime birth, marriage and death records published in association with The National Archives
· White Star Line Officers’ books that were due to be destroyed made available online for the first time
Leading family history website findmypast.co.uk has published two new fascinating sets of records, which include information about the passengers and crew aboard the Titanic’s ill-fated maiden voyage. TheMaritime birth, marriage and death records and White Star Line Officers' books are both available from today.
Debra Chatfield, family historian at findmypast.co.uk, said: “These fantastic new additions to findmypast.co.uk will be of immense value not only to people with ancestors who were employed at sea, but also to anyone who has been struggling to find a record of an ancestor’s birth, marriage or death. There has never been a single centralised register of births, marriages and deaths at sea, so many of the names listed in these records will not appear in the information already available online.”
Maritime births, marriages and deaths Search for your ancestors in vivid full colour scans of the original documents recording births, marriages and deaths at sea. In addition to these, births, marriages and deaths associated with seafaring occupations are recorded – not just events that took place at sea. The Maritime death records include a list of the Titanic crew members and passengers who died at sea.
Our new online collection is published in association with The National Archives and brings together 30 different record types from 10 different record series held at The National Archives.
Types of records, number and date range:
Births – 38,990 records covering the years 1867-1960
Marriages – 37,538 records covering the years 1854-1972
Deaths – 949,890 records covering the years 1794-1964
The information the records contain will vary, but they will usually include a combination of the following:
Births: Child’s name, date of birth, place of birth (could be a ship name), father’s name, father’s rank, father’s place of birth, father’s last address, mother’s name, mother’s place of birth, mother’s last address.
Marriages: Name, rank, age, last address, spouse’s name, father’s name, date of marriage, place of marriage (could be a ship name), names of children.
Deaths: Name, rank, age, date of death, place of death (could be a ship name), cause of death, last address, place of birth.
White Star Line Officers' books
View full colour scans of the original service records of White Star Line officers and commanders, including all the officers on board the Titanic.
The collection comprises 1,042 records covering the years 1868 – 1934. Ron Warwick, a now-retired former employee (and former ship's captain) of White Star Line, rescued the books when they were being thrown out by the company.
The information for each officer includes date and place of birth, address, details of his apprenticeship, the names and dates of the ships served upon and the date he left the company.
The White Star Line Officers’ books include an original colour scan of the Titanic’s Captain Edward Smith's employment record, listing all the ships he served on and when. You can also see the note in red ink which tells us he was 'Lost in "Titanic" Apl 15th, 1912'.
QFHS Lecture: Researching Family History in Vermont
The following is a notice from Susan Gingras Calcagni about a forthcoming Quebec Family History Society public lecture.
Researching Family History in Vermont (Free Lecture)
Date Saturday, April 14, 2012
Time 10:30 a.m.
Location Briarwood Presbyterian Church Hall, 70 Beaconsfield Blvd, Beaconsfield, QC, H9W 3Z3
Visit www.qfhs.ca
Presented by Ed Maquire, President of the Vermont French-Canadian Genealogy Society
Ed Maquire will discuss the long history shared by Quebec and Vermont. In the 1860s, about almost half of Vermont’s residents were French-Canadian, and many Lower Canada (Quebec) residents, living close to the US border, married in Vermont. Mr. Maguire will talk about the type of records available, such as church, immigration, naturalization, court, and military records, and explain where to find them.
Members and guests are welcome to join us!
